本文涵盖了容积式水加热器换热面积计算的方法、管壳式换热器参数的部分内容,以及一个设备伴热管计算的实际例子。
1 容积式水加热器换热面积计算文章源自云智设计-https://www.cidrg.com/ideabank/wiki/19176.html
文章源自云智设计-https://www.cidrg.com/ideabank/wiki/19176.html
换热面积,按式(3-35)计算:文章源自云智设计-https://www.cidrg.com/ideabank/wiki/19176.html
文章源自云智设计-https://www.cidrg.com/ideabank/wiki/19176.html
式中Q—设计小时耗热量(W)文章源自云智设计-https://www.cidrg.com/ideabank/wiki/19176.html
ε—由于水垢、热媒分布不均匀等影响传热效率的系数,一般采用0.8~0.6文章源自云智设计-https://www.cidrg.com/ideabank/wiki/19176.html
K—传热系数[W/(m2ˑ℃)],K值对加热器换热影响很大,主要取决于热媒种类和压力、热媒和热水流速、换热管材质和热媒出口凝结水水温等;K值应按厂家提供的参数选用;对于普通容积式加热器K值,参见下表;文章源自云智设计-https://www.cidrg.com/ideabank/wiki/19176.html
普通容积式加热器K值文章源自云智设计-https://www.cidrg.com/ideabank/wiki/19176.html
| 热媒种类 | 热媒流速(m/s) | 被加热水流速(m/s) | K[W/(m2ˑ℃)] | ||
| 钢盘管 | 铜盘管 | ||||
| 蒸汽压力(MPa) | ≤0.07 | - | <0.1 | 640~698 | 756~814 |
| >0.07 | - | <0.1 | 698~756 | 814~872 | |
| 热水温度70~150(℃) | <0.5 | <0.1 | 326~349 | 384~407 | |
注:表中K按盘管内通过热媒和盘管外通过被加热水取值文章源自云智设计-https://www.cidrg.com/ideabank/wiki/19176.html
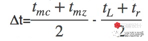
Δt—热媒与被加热水的计算温差,可按其算数平均温度采用,见下式:文章源自云智设计-https://www.cidrg.com/ideabank/wiki/19176.html

式中tmc、tmz—热媒的初温和终温(℃)见下表
tL、tr—被加热水的初温和终温(℃)
| 换热器种类 | 饱和蒸汽 | 热网热水(℃) | ||||
| ≤0.07(Map) | >0.07(Map) | |||||
| tmc | tmz | tmc | tmz | tmc | tmz | |
| 普通容积式 | 100℃ | 100℃ | tb | tb | 70~150 | 55~75 |
| 双盘管式 | tb | 80℃ | tb | 80℃ | 70~150 | 55~75 |
| 浮动盘管式 | tb | 60℃ | tb | 60℃ | 70~150 | 55~70 |
| 弹性管束式 | tb | 45℃ | tb | 45℃ | 70~150 | 45℃ |
注:1.tb为蒸汽饱和温度(℃)
2.热媒初温和终温的温差应大于10℃
2 管壳式换热器参数

3 设备伴热管计算举例
已知条件:
保温设备直径φ1400mm,高度约为3000mm;
设备中物料温度160℃;
按工程标准环境温度﹣10℃;
保温伴管直径d =25mm,厚度δ=3mm;
保温隔热层厚度100mm;
冬季平均风速w=7m/s ;
饱和蒸汽温度175℃,压力900kPa。
1) 计算热损失
①热损失传热系数K 。
保温隔热层表面至周围空气的给热系数a。由下式n计算得

=(11.62+6.97X√7) W /(m².℃)
=30.06W/(m².℃) a'。取11.62(m².℃)
设备外壁至保温隔热层内侧空隙间空气的给热系数a₁,取a₁=11.62W/(m².℃)。
保温隔热层的热导率λ₂, λ₂=0.0604W/(m .℃)。
热损失传热系数K ,由下式得

②设备的外表面积F,
F =(3.14x1.4x3)m²=13.19m²。
③热损失的传热温差△t,由下式得
△t = tw-ta=[160-(-10)]℃=170℃
④热损失Q ,由下式得
Q = KF△t =(0.56x13.19x170) W =1255.69W
2) 伴管长度计算
①传热面积F1
a.伴热管与保温设备之间的传热系数K₁
蒸汽冷凝给热系数a₂,取a₂=11622.5W/(m².℃)
钢管热导率λ=46.52W/(m .℃)
伴热管至保温隔热层内空气给热系数a₃,查表,a₃=22.08W/(m².℃)
保温隔热层内空气至被加热设备的给热系数a₄ ,查表,a₄=14.53W/(m².℃),伴热管壁厚δ=3mm
伴热管与保温设备之间的传热系数K,由下式得

b.伴热管与保温设备之间的传热温差△t₁由下式计算
△t₁ = tv - tw =(175-160) ℃ =15℃
c.传热面积F₁。由下式得
F₁=Q/(K₁△t₁)
=1255.69/(8.75X15)m²
=9.57m²
②伴管长度L由下式得
L=F₁/(πd)
=9.57/(3.14X0.025)m
=121.91m












评论