油田联合站实际生产过程中需要消耗大量的化石能源,由此产生大量的碳排放。将风能、太阳能以及采出水余热利用技术应用到油田联合站生产过程,将有利于促进联合站碳减排。以某联合站为研究对象,分析了联合站实际生产过程中的能耗及碳排放特点,并将风光发电制氢、槽式太阳能集热以及采出水余热技术应用于联合站生产过程中,构建了油田联合站多能互补系统。结果表明,集成多种清洁能源利用技术的油田联合站实现了良好的节能减排效果,其中:利用槽式太阳能集热和采出水余热技术代替燃烧化石燃料为原油加热,CO2排放量降低了62.34%;利用风光发电技术代替常规电网供电,在满足了联合站用电的同时,CO2排放量将降低9.73%,年度额外累计制氢980.44 kg。通过多种清洁能源利用技术的协调转化,进一步优化了油田联合站的能源供给结构,在实现多种清洁能源利用技术互补利用的同时,降低了化石燃料的消耗,有效降低了油田联合站整体的碳排放量。
关键词文章源自云智设计-https://www.cidrg.com/news/forward/22137.html
油田联合站;碳减排;多能互补;碳中和文章源自云智设计-https://www.cidrg.com/news/forward/22137.html
0 引言
油气行业作为重要的能源产业之一,在能源转型背景下,其传统的高能耗模式面临着巨大的节能减排压力[1-3]。油田联合站是油田原油处理系统中的重要组成部分,包含复杂的工艺处理环节,能源消耗总量大、种类多,具有较大的节能减排潜力[4-6]。因此,研究高效的联合站碳减排工艺对实现油气资源的绿色低碳开发具有重要意义[7-9]。文章源自云智设计-https://www.cidrg.com/news/forward/22137.html
开发利用风能和太阳能等可再生能源替代传统化石能源是当前促进联合站等高能耗用能场所碳减排的主要方法之一[10-14]。同时,联合站处理采出原油的过程中伴随着产生大量的中低温采出水,将其进行余热回收利用也是实现节能减排的重要手段[15-18]。结合不同用能需求,将可再生能源利用技术集成到油田联合站实际生产工艺过程中,并回收采出水余热,将有效降低联合站的化石能源消耗。依据能源梯级利用等科学用能思想,促进可再生能源与采出水余热等资源的集成综合利用,将进一步实现联合站用能的有益互补,助力联合站实现碳减排,打造零碳或低碳联合站[19-21]。文章源自云智设计-https://www.cidrg.com/news/forward/22137.html
为了实现多能互补技术在油田行业生产过程的良好集成,一些学者从系统优化设计、减排效益评估等角度开展了大量研究工作。刘军等[22-23]建立了包含光伏发电、风力发电、光能集热等新能源技术的油田多能互补综合能源系统,分别以运行成本最低、可再生能源消纳能力最强、系统输入总㶲量最小为优化目标,对系统策略进行优化调控,实现了在不同需求场景下多能互补技术的灵活调度,提高了可再生能源利用率。将光伏和光热利用技术应用于油田生产过程中,在能够利用日间太阳光热对原油进行加热的同时,可利用光伏系统实现夜间对油田用能的供给,有效降低化石能源消耗[24]。此外,将回收油田联合站的采出水余热,用于为联合站提供生产用热和站内供暖,能够有效降低原油和天然气的消耗,具有良好的经济效益[25]。罗舜等[26]对油田地面集输系统工艺流程的能耗和碳排放特点进行了研究,通过建立的碳排放计算模型,分析了集输系统各工艺环节运行过程中碳排放量的主要影响因素。白晓东等[27]在分析了中国油田领域用能及碳排放特点的基础上,从油田采出水余热利用、地热资源开发、风光发电和碳捕集、利用与封存技术等方面论述了油田地面工程清洁能源替代的可行性和必要性,提出了油田与新能源技术的综合利用路线,为油田领域节能减排的实现提出了相关建议。文章源自云智设计-https://www.cidrg.com/news/forward/22137.html
目前,针对新能源利用技术在油田联合站碳减排的应用仍处于研究和开发阶段,如何实现新能源利用技术供能与油田联合站用能之间的合理调配,以及油田联合站碳减排、碳中和的有效实现路径有待进一步探索。本文以中国东部某油田某联合站作为研究对象,在分析油田联合站实际生产工艺流程的基础上,构建了油田联合站的用能和碳排放模型,明确了油田联合站在运行过程中的用能和碳排放特点。同时,引入风力/光伏发电、槽式太阳能集热、采出水余热利用和电解制氢技术,构建油田联合站多能互补系统,以实现多种用能供需之间的良好匹配,从而实现利用清洁能源代替传统化石能源、减少油田联合站整体碳排放的目的。文章源自云智设计-https://www.cidrg.com/news/forward/22137.html
1 油田联合站多能互补系统
1.1 油田联合站多能互补系统构成
如图1所示,油田联合站多能互补系统包括三相分离器、沉降罐、提升泵、槽式太阳能集热器、换热器、加热炉、净化罐、天然气分离器、外输泵、压缩式热泵、风光发电机组、碱性电解槽等主要设备。在实际运行过程中,该多能互补系统将对3个联合站输送来的原油进行集中处理,其中,1号联合站、2号联合站、3号联合站来液量分别为26 900 m3/d,1 225 m3/d,1 669 m3/d;含水率分别为97%,20%,20%。来自1号联合站的高含水率原油经过三相分离器脱水处理后再通入到沉降罐内进行后续处理,2号联合站和3号联合站的低含水率原油直接由管道输送到沉降罐内进行沉降脱水,随后对沉降脱水后的原油进行加热以增强原油的流动性,最后通入净化罐内进行净化处理,净化后的原油最终由外输泵进行外输。文章源自云智设计-https://www.cidrg.com/news/forward/22137.html
1.2 系统运行方案
在油田联合站多能互补系统实际运行过程中,1号联合站(含水率约97%)采出原油先经三相分离器进行脱水处理,将采出原油的含水率降低至约20%。经处理后原油与来自2号联合站和3号联合站的低含水率原油一同通入到沉降罐内,通过沉降脱水,进一步将原油处理到含水率为约1%。随后,提升泵将低含水率原油输送至原油加热模块,通过加热提升原油温度以保证原油的流动性。加热后的原油输送至净化罐内,进行最后的净化处理后由外输泵进行原油外输。文章源自云智设计-https://www.cidrg.com/news/forward/22137.html
文章源自云智设计-https://www.cidrg.com/news/forward/22137.html
图1 油田联合站多能互补系统结构示意文章源自云智设计-https://www.cidrg.com/news/forward/22137.html
系统的运行调控流程如图2所示。其中,原油加热过程由槽式太阳能集热和采出水余热联合供热。运行过程中优先使用槽式太阳能集热器内的高温导热油对原油进行加热,当太阳能辐射强度低或在夜间时,槽式集热器无法满足原油加热需求,则利用压缩式热泵回收采出水余热并利用升温后的中介水对原油进行二次加热,从而满足原油的温度需求。另外,风力/光伏发电首先用于为站内的泵机组、照明设备和压缩式热泵机组进行供电,供电量不足时,则继续由外购电力进行供电。在风力/光伏发电能够满足站内的用电需求且有富余时,将富余电量用于碱性电解槽进行电解制氢。碱性电解槽以碱性溶液作为电解液,电解液起着导电和提供氢离子的作用,在电解过程中电解液进行分解,在阴极生成氢气并进行收集,进而完成电能向氢能的转化。通过以上多能互补技术的利用,在实现降低化石燃料消耗,减少联合站碳排放的同时,也实现了不同种类能源的转化利用,优化了油田联合站整体用能结构。

图2 基于碳中和的联合站多能互补系统运行调控流程
2 系统建模
为进一步开展系统运行评估,促进实现多能互补协同运行的良好调控,针对系统中重要的运行环节构建了相应的数学模型,综合形成了油田联合站多能互补系统运行仿真模型。
2.1 泵机组电负荷计算
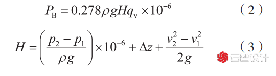
泵机组能耗是油田联合站生产运行过程中的主要耗电来源,主要包括提升泵和外输泵,泵机组的输入功率计算公式如下[28]:

式中:Psr——电机有效输入功率,kW;U——输入电压,V;I——输入电流,A;
——功率因数,取0.85;PB——泵的有效输出功率,kW;ρ——液体的密度,kg/m3;g——当地重力加速度,m/s2;qv——流体体积流量,m3/h;H——泵的总扬程,m;p1、p2——泵进出口液体压力,MPa;Δz——泵进出口压力表的高度差,m;v1、v2——泵进出口流体流速,m/s。
2.2 加热负荷计算
联合站内主要利用加热炉对原油进行加热,使原油维持在一定温度范围,确保原油的流动性。联合站加热负荷需求Q主要由当前处理液量、含水率及加热温度等参数决定,计算公式如下:

式中:Q——系统热负荷,kW;q——原油、采出水流量,m3/h;cp——导热油定压比热容,kJ/(kg·K);ρ——原油的密度,kg/m3;Δt——原油进出口温差,℃;α——原油含水率,%;cp,w、cp,o——水、油的定压比热容,分别取4.20 kJ/(kg·K)和2.01 kJ/(kg·K)。根据计算得到的原油所需热负荷,计算加热炉相应的消耗燃料量,其中加热炉燃烧效率取85%。
2.3 槽式太阳能聚光集热器效率计算
槽式聚光集热器通过太阳能集热,对集热介质导热油进行加热,并通过导热油与原油换热,实现对原油的升温加热。集热器的集热效率定义为集热器热量与太阳辐射能的比值:

式中:ηcol——集热器效率,%;Qg——集热器获得能量,kW;Qsol——太阳辐射能,kW。
太阳辐射能和集热器获得的能量,计算如下[29]:

式中:I——太阳辐射强度,W/m2;A——集热器采光口面积,m3;mth——导热油质量流量,kg/h;tin、tout——集热器导热油进口温度、出口温度,℃;t为时间,h。
其中太阳辐射能和集热器获得能量的能量平衡关系如下[30]:

式中:Qloss——集热器和环境之间的散热损失,kW;α1、α2——热损失计算系数,分别表征对流及热辐射导致的散热损失,其中α1=0.4 kW/m·K,α2=1.11×10-8 kW/m·K;TPTC、Tatm——吸热管内部工质和环境的温度,K;LPTC——抛物槽式集热器回路长度,m。
2.4 风光发电功率计算
风力机组将捕获的风能转换为电能,供给联合站用电,输出功率可由下式计算[31]:

其中,

式中:Pwt——输出功率,kW;v——风速,m/s;
a、b——无量纲系数;vr、vin、vout——风力发电机的额定、切入、切出风速,m/s;ηt、ηg——机械传动效率和电力转换效率,%;ρa——空气密度,kg/m3;Awt——风轮面积,m2;Pr——风力发电机的额定功率,kW;Cp,air——为风轮性能系数;λ——叶尖速比;β——为浆距角,rad。
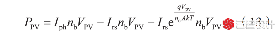
光伏阵列利用光生伏特效应,将太阳辐射转换为电能,其输出功率为[32]:

式中:PPV——输出功率,kW;nb、nc——光伏电池并联数目与串联数目,个;Iph、Irs——光生电流与二极管的反向饱和电流,A;VPV——光伏电池的输出电压,V;T——光伏电池的输出温度,℃;q——电子电荷,C;k——玻尔兹曼常数,1.38×10-23J/K。
2.5 碱性电解槽制氢计算
风光发电在满足联合站用电需求后,多余的电量用于碱性电解槽制氢,实现电能向氢能的转化。其中,碱性电解槽设备的运行功率主要受自身极化特性及响应速度等因素影响,根据其极化特性关系,电解制氢功率为[33]:

式中:PAE——电解制氢功率,kW;Iel——电解槽电流,A;Tel——电解槽温度,℃;r——电解液欧姆电阻参数,Ω·m2;Acell——电解槽有效面积,m2;s——电极过电压系数,0.182 9;V0——电极可逆电压,V。
电解水制氢的产氢速率可由下式确定:

式中:
——产氢速率,mol/s;Nel——电解槽单元个数,个;ηF——法拉第效率,%;F——法拉第常数,取96 485 C/mol。
2.6 碳排放计算
在油田联合站实际运行过程中,各种运行设备的能源消耗将产生相应的碳排放,主要包括提升泵、外输泵和照明用电设备产生的电耗碳排放,以及加热炉对原油进行加热过程中产生的热耗碳排放。根据用能量和对应的碳排放因子,进而计算产生的碳排放量。其中燃烧产生的直接碳排放按照下式计算[26]:

式中:Eheater——燃烧产生的直接碳排放,t;EF,ghg——燃料温室气体排放因子,0.089 5;Hef——燃料燃烧释放出的热量,kJ。
泵机组和照明用电设备产生的间接碳排放按照下式计算[26]:

式中:IE——用电产生的间接碳排放,t;BQ——外购电力,kW·h;EF,be——外购电力所对应的排放因子,0.000 86 tCO2/(kW·h)。
3 结果讨论与分析
3.1 油田联合站能耗与碳排放分析
基于构建的油田联合站多能互补系统数学分析模型,根据式(1)~式(5)对联合站实际运行过程中的能耗情况进行了计算分析。油田联合站电耗和热耗的分析数据如表1和表2所示。
表1 油田联合站电耗计算

表2 油田联合站热耗计算

此外,在对油田联合站能耗分析的基础上,进一步分析了联合站实际运行过程中当日用电和用热所产生的CO2排放情况,并根据式(16)~式(17)对碳排放情况进行计算分析,如图3所示。

图3 油田联合站当日产生CO2排放计算分析
在联合站当日实际运行过程中,提升泵、外输泵和用电照明设备的日产生电碳排放量分别为:554.25 kg、682.26 kg和16.54 kg。其中,处理1号联合站、2号联合站和3号联合站的来液原油所产生的CO2排放分别占26.6%、30.4%和41.4%,生活用电所产生的CO2排放仅占1.53%。与用电产生的CO2排放量相比,因用热而产生的CO2排放量更大,日累计量为15 506.3 kg。1号联合站、2号联合站和3号联合站分别占30.7%、29.3%和40%。
3.2 多能互补系统供热及碳减排分析
槽式集热器能够利用太阳辐射将导热油最高升温至约400 ℃,能够较好的满足原油的加热需求,因此,采用槽式太阳能集热代替燃烧化石燃料供热能够有效减少消耗化石能源产生的碳排放。此外,在联合站运行过程中,会产生大量温度为45 ~ 55 ℃的采出水,利用压缩式热泵回收采出水余热可得到90 ℃中介水,再利用高温中介水通过换热器实现对原油的二次加热。考虑到太阳能与采出水余热的互补利用,且采出水余热量较为充足,槽式集热器设计工况下的太阳辐射为700 W/m2,有效集热面积为4 580 m3,在槽式集热器供热不足时,采出水余热能够实现较好的二次加热。
为了分析槽式集热器和采出水余热利用在不同季节内的供热及CO2减排量的波动变化情况,分别选取了在夏季、冬季和过渡季典型日48 h内的系统运行情况进行了研究分析,以更好地体现太阳能供能及减排波动特性,如图4所示。相较于冬季和过渡季,夏季太阳辐射强度更高,槽式集热器所供给的热量相对更加充足。在太阳辐照度较低或夜间时刻,槽式集热器无法满足原油用热需求,此时启动压缩式热泵,利用采出水余热对原油进行二次加热。根据式(6)~ 式(10)计算得出,在夏季、冬季和过渡季的典型日内,槽式集热器分别累计供热6.68×107 kJ、2.95×107 kJ和4.61×107 kJ,累计CO2减排量分别为5.68 t、2.51 t和3.92 t。采出水余热供热在3个典型日内分别减少22.52 t、25.59 t和24.19 t的CO2排放。

图4 典型日槽式太阳能集热供热与采出水余热供热分析
另外,为了明确槽式太阳能集热与采出水余热在油田联合站多能互补系统的全年供热和碳减排情况,对全年运行过程中的供热量及CO2减排进行了分析,如图5所示。在年度运行过程中,槽式集热器累计供给热量9.16×106 MJ,累计CO2碳减排共819.89 t,采出水余热全年累计供热5.41×107 MJ,累计CO2减排4 835.95 t,实现了较好的碳减排效果。
3.3 风光发电制氢碳减排及经济性分析
风力/光伏发电在为提升泵、外输泵和照明设备提供电能的同时,还需要为压缩式热泵机组提供电能。其中,在槽式集热器供热量为0时,所需的采出水余热供热功率为2 004.38 kW,压缩式热泵机组COP(制冷效率)值取5.0,需消耗电能400.87 kW,联合站整体所需耗电功率为461.47 kW。基于此,考虑到风光资源的间歇性问题与当地风光资源情况,将风力发电规模和光伏发电规模均设置为300 kW。

图5 年度槽式太阳能集热与采出水余热供热及碳减排分析
为了研究风光发电以及电解制氢的特性,首先对典型周内的风光发电进行了研究分析,如图6所示。一周光伏发电供给电量为3 161.42 kW·h,风力发电供给电量为3 578.04 kW·h。光伏发电主要在日间太阳辐射强度充足时进行发电,风力发电则随当地风力资源变化产生了较大的波动。
此外,对年度运行过程中风光发电功率和用于电解制氢的功率进行了研究分析,如图7所示。由于风光资源的波动,在年度运行过程中,上半年的风光发电量相对更为充足,在满足了联合站的用电需求后,多余电量用于电解制氢。根据式(11)~式(15)计算得出,光伏发电和风力发电的全年供给电量分别为3.14×105 kW·h和7.29×105 kW·h。另外,用于电解制氢的供电量为1.61×105 kW·h。
图6 典型周内风光发电波动分析
图7 系统年度风光发电及电解制氢特性分析
为了明确光伏发电和风力发电全年运行过程中的CO2减排量和制氢情况,对年度运行过程中光伏发电和风力发电的CO2减排量进行分析,如图8和图9所示。在系统全年运行过程中,光伏发电累计减少了270.15 t的CO2排放,风力发电累计减少了627.14 t的CO2排放。此外,年度累计总制氢量为980.44 kg,如图10所示。
图8 系统全年光伏发电减碳量分析

图9 系统全年风力发电减碳量分析

图10 系统全年电解制氢量分析
考虑到风发电制氢对系统整体收益的影响,本文对风光发电制氢模块开展了初步的经济性分析,以进一步明确风力/光伏发电和制氢技术给系统带来的收益。其中,经济分析主要考虑了可再生能源制氢系统的初始投资设备、运行维护成本,以及收益汇报。
3.3.1 系统初始投资

式中:C0——系统初始投资,元;Cp,all——总设备购置成本,元;RF——投资系数,定为1.3。Cp,PV——光伏发电机组设备购置成本,元;Cp,WT——风力发电机组设备购置成本,元;Cp,AE——碱性电解槽设备购置成本,元。其购置成本分别满足购置成本关系式,其中各设备单位成本参数见表3。
表3 主要设备单位成本

3.3.2 运行维护成本
系统全寿命周期的运行维护费用主要包括各个设备日常维护费用和设备更换费用。

式中:Cr——运行维护成本,元;Cr,PV——光伏发电机组运行维护成本,元;Cr,WT——风力发电机组运行维护成本,元;Cr,AE——碱性电解槽运行维护成本,元。各部分费用都可以用其初始投资的百分比进行估算。
在风光发电机组运行期间,为了维持联合系统的正常运转,需要持续地支出相应的费用,运行费用主要集中在管理、维护等方面。
通常采用系统运行期间每一年的平均管理维护支出与项目初期总建设投资的比值来估算项目的管理维护成本,由于系统各个子系统管理与维护的侧重点不尽相同,因此需要分开进行核算。风力发电、光伏发电、碱性电解槽等子系统的年管理维护费用与总建设投资比值的百分数分别为:2%、1%、4%。
3.3.3 经济收益
系统经济收益分为两部分:风力/光伏发电直接供电收益和电解制氢收益。
根据《国家发展改革委关于2021年新能源上网电价政策有关事项通知》(发改价格〔2021〕833号)山东地区光伏电站和路上风电上网电价按照燃煤发电基准价执行(0.394 9元/kW·h)。
通过以上经济分析模型,以20 a作为系统的运行周期,计算得到风光发电及制氢模块的设备总建设成本为378.30×104元,年度运行周期维护成本为9.48×104元,在运行周期内供电以及制氢产生的年度净收益为26.81×104元,取得了较好的经济效益。
4 结论
本文将风光发电制氢、槽式太阳能集热器和采出水余热利用技术应用于油田联合站实际生产运行过程中,构建了油田联合站多能互补系统。基于对联合站运行能耗和碳排放特性分析,将多能互补技术与联合站进行有机结合,进而推动实现联合站降耗减排。主要研究结论如下:
1)在油田联合站多能互补系统全年运行过程中,风光发电减少了9.73%的CO2排放,年度额外累计制氢980.44 kg,年度净收益为26.81×104元,取得了较好的经济收益。
2)槽式太阳能集热和采出水余热供热减少了联合站62.34%的CO2排放,有效降低了化石燃料的消耗,实现了良好的节能减排效果。
3)通过多种清洁能源利用技术的协调转化,改善了系统多能互补技术的供能结构,实现了多种清洁能源技术的转化与互补利用。
本研究工作将多能互补技术集成到油田联合站生产过程中,有效降低传统化石燃料能源消耗产生的CO2排放,改善系统用能结构,为油田行业清洁能源利用技术的应用提供了参考建议。
参考文献上下滑动阅览
[ 1 ] 牛栓文,高国强,李清方,等.油田联合站分布式能源系统能流分析及其分配优化[J].油气储运,2023,42(3): 352-360.
[ 2 ] 周娟,何战友,徐自强,等.某油田大型联合站多排放源VOCs扩散的数值模拟[J].环境工程学报,2023,17(5): 1543-1553.
[ 3 ] 闫亚敏,梁永图,李焯超,等.油田联合站分布式能源系统优化[J].油气储运,2019,38(4):445-450.
[ 4 ] 王岩.老油田掺水工艺能耗分析及节能优化技术研究[J].石油石化节能与计量,2024,14(2):7-12.
[ 5 ] 宋曙光,张翀焱.油田新能源与节能减排技术研究[J].石油石化节能与计量,2023,13(9):83-88.
[ 6 ] 秦佳伟.节能技术在油田地面工程设计中的应用[J].中国石油和化工标准与质量,2023,43(15):174-176.
[ 7 ] 丛宇.油田地面工程的节能技术探究[J].中国石油和化工标准与质量,2023,43(6):167-169.
[ 8 ] 韩超.油田地面系统区域优化节能探讨[J].石油石化节能,2022,12(8):48-51.
[ 9 ] 杨光权,孙彦峰,刘子杰.油田集输系统的能耗与节能研究综述[J].中国设备工程,2021(18):248-249.
[10] 王少梅.石油化工企业节能减排的现状及对策研究[J].石化技术,2022,29(1):212-213.
[11] 孙剑飞.石油化工企业节能技术现状及创新发展[J].石化技术,2021,28(1):131-132.
[12] 潘丽,杜尔顺,王剑晓,等.风力发电与光热发电联合运行经济效益研究[J].综合智慧能源,2022,44(1): 26-30.
[13] 贾雪峰,薛国锋.吉林油田风光发电项目探索与实践[J].石油科技论坛,2024,43(1):115-121.
[14] 宋曙光,张翀焱.油田新能源与节能减排技术研究[J].石油石化节能与计量,2023,13(9):83-88.
[15] 刘子勇,刘宏亮,李静静,等.“余热+光伏”能源互联技术在油田联合站的应用[J].石油石化节能,2019, 9(3):11-13.
[16] 李杰,路潇潇,高嘉喜,等.延长油田联合站间歇性采出水处理工艺改造[J].中国给水排水,2020,36(4): 110-113.
[17] 刘佳.某油田联合站污水余热利用研究[J].石油石化节能与计量,2024,14(2):59-63.
[18] 陈玥.油田余热回收技术研究[J].石油石化节能,2021, 11(9):7-9.
[19] 曹修恒.某联合站节能回收与综合利用研究[J].科技信息,2013(16):369.
[20] 冯波,刘银春,江旺凤,等.油气田企业清洁能源发展潜力分析与建议[J].广州化工,2022,50(16):174-176.
[21] 李建梅,夏长生,赵宝军,等.油气田新能源建设初期效益分析[J].中国科技信息,2024(4):113-114.
[22] 刘军,邹兵,张利,等.油田井工厂多能互补综合能源系统的研究[J].上海电气技术,2022,15(2):31-37.
[23] 刘军.胜利油田新型电力系统建设和绿色转型发展路径[J].上海电气技术,2022,15(2):1-5.
[24] 郝芸,吕少华,李慧,等.太阳能光伏光热系统在原油集输中的应用研究[J].石油石化绿色低碳,2020,5(3): 69-72.
[25] 孟维.油田联合站采出水余热梯级利用的应用探讨[J].区域供热,2020(1):131-713.
[26] 罗舜,郭林琼,刘扬,等.油田地面集输系统碳排放计算分析[J].化工机械,2020,47(1):85-88.
[27] 白晓东,何少林,李重,等.“碳中和”愿景下油田地面工程新能源替代及低碳绿色发展对策[J].油气与新能源,2021,33(4):16-21.
[28] 刘宏亮,李静静,高中显,等.油田集输站场槽式聚焦太阳能加热技术研究与应用[J].石油石化节能,2019, 9(10):20-22
[29] 许子龙.太阳能和燃料电池耦合的分布式供能系统研究[D].北京:华北电力大学,2016.
[30] PENG S, HONG H, JIN H G, et al. A new rotatable-axis tracking solar parabolic-trough collector for solar-hybrid coal-fired power plants[J].Solar Energy,2013,98(Part C):492-502.
[31] ZHANG W, MALEKI A, ALHUYI NAZARI M. Optimal operation of a hydrogen station using multi-source renewable energy (solar/wind) by a new approach[J].Journal of Energy Storage, 2022,53:104983.
[32] 张孝顺,谭恬,蒙蝶,等.基于光伏系统的动态代理模型最大功率点跟踪算法研究[J].华电技术,2021,43(8): 1-10.
[33] ALIRAHMI S M, RAZMI A R, Arabkoohsar A. Comprehensive assessment and multi-objective optimization of a green concept based on a combination of hydrogen and compressed air energy storage (CAES) systems[J].Renewable and Sustainable Energy Reviews,2021,142:1108.












评论